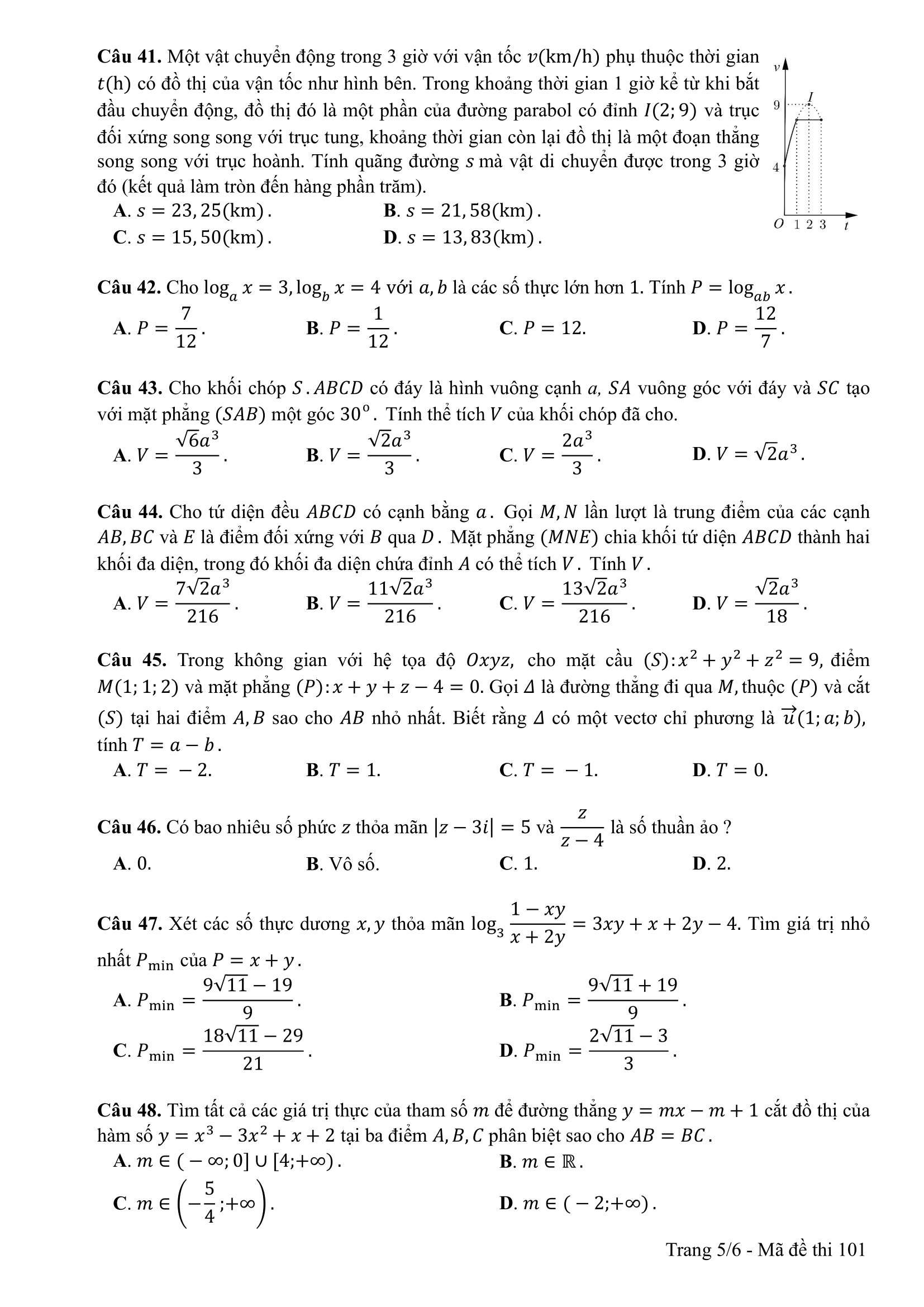
Đề thi toán THPT quốc gia 2017 – Mã 101

BÀI VIẾT NHIỀU NGƯỜI QUAN TÂM

16 năm
Giáo dục trực tuyến
6.460.467
Thành viên
Nền tảng học trực tuyến
số 1 Việt Nam