Mã đề 109.4

BÀI VIẾT NHIỀU NGƯỜI QUAN TÂM

16 năm
Giáo dục trực tuyến
6.460.467
Thành viên
Nền tảng học trực tuyến
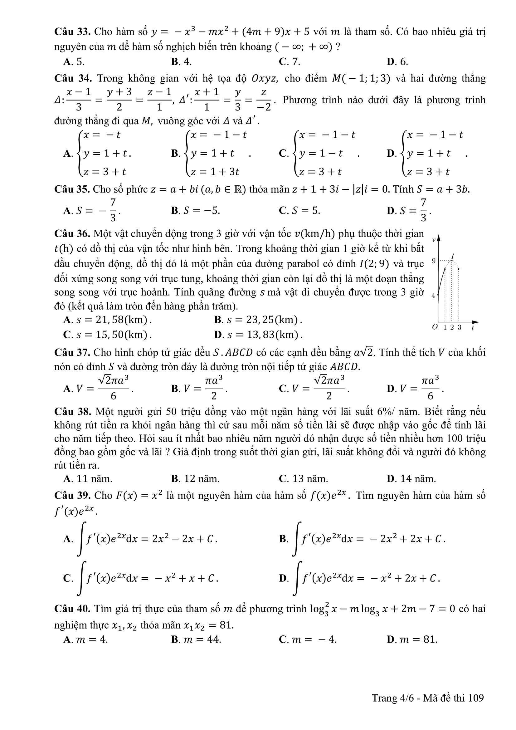
số 1 Việt Nam