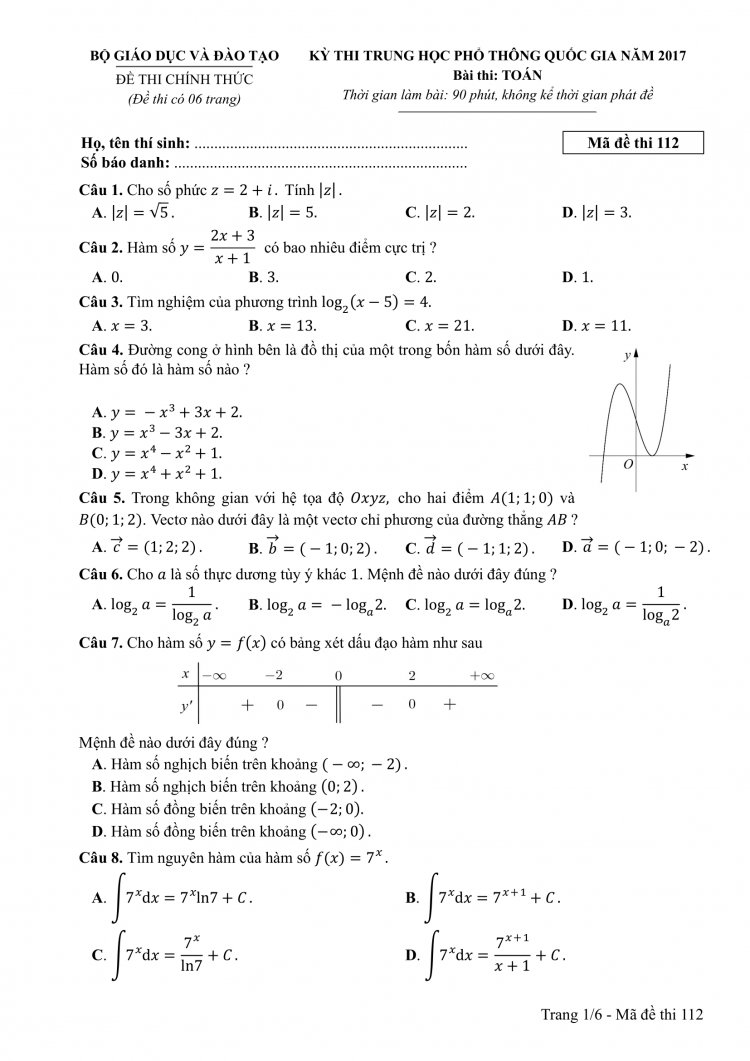
Mã đề 112.1

BÀI VIẾT NHIỀU NGƯỜI QUAN TÂM

16 năm
Giáo dục trực tuyến
6.460.467
Thành viên
Nền tảng học trực tuyến
số 1 Việt Nam