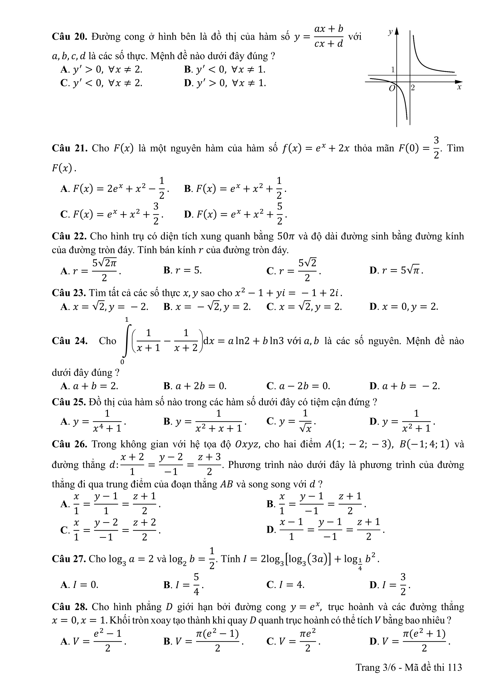
de-chinhthuc-toan-k17-m113-1498310294507-3

BÀI VIẾT NHIỀU NGƯỜI QUAN TÂM

16 năm
Giáo dục trực tuyến
6.460.467
Thành viên
Nền tảng học trực tuyến
số 1 Việt Nam